목차

해당 글은 유투브 혁펜하임을 참조하였습니다.
푸리에 변환(Fourier Transform)이란?
기존의 푸리에 시리즈(Fourier Series)는 주기(Period)를 가지는 신호를 사인파(주파수신호)의 합으로 표현한 것이었습니다. 푸리에 변환은 비주기 신호(Aperiodic)까지 확장해서 시간 함수를 주파수 함수로 변환해주는 것입니다.
특징으로는 푸리에 시리즈는 주기 값(T)에 관한 정의가 되지 않으면 1대1변환이 완벽하게 되지 않지만 푸리에 변환은 주기가 없는 신호까지 포함하기 때문에 1대1 변환이 가능합니다. 즉, 시간 함수를 주파수 함수 변환으로 이를 다시 역변환해서 시간 함수로 1 대 1 변환이 가능하다는 의미입니다.
- 비주기 신호까지 변환 가능
- 1대1 변환 가능
수학적으로 비주기 신호를 표기할 때는 주기 값(T)를 무한대로 보낸 형태를 비주기라고 일반적으로 정의 합니다.

푸리에 변환의 시작은 위 그림과 같이 수학자들이 주기적으로 반복되는 사각파를 푸리에시리즈로 변환을 하면서 시작되었습니다.

관찰한 사실은 주기값 T0를 계속해서 증가시키니 푸리에시리즈 계수(ak)가 0으로 수렴한다는 사실이었습니다. ak의 수식 전개는 https://scribblinganything.tistory.com/634 서 확인 가능합니다.

이번에는 위 값을 주파수 그림으로 확인하니 주파수 간격이 점점 작아지는 현상을 확인하였습니다. 주파수 영역에서 f0=1/T0 간격으로 x축이 형성됨을 확인하였습니다. 즉, T0가 무한이 커지면 주파수에서 Continuous 하게 표현이 가능해집니다.
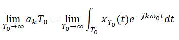
그리고 이번에는 akT0 값이 0으로 수렴하는 것이 아닌 특정 값으로 수렴하는 것을 확인했습니다. 이것을 시작으로 akT0로 관찰을 시작하게 되었습니다.

수식(2)에서 주기값을 무한대로 보내서 비주기 신호에 대해 푸리에 변환이 어떻게 되는지 확인해보겠습니다.



위 3가지는 T0가 무한대로 가기 때문에 위의 첫번째는 일반 주기가 없는 신호로 표현될 수 있고 두번째식은 ak는 k에 대한 수식이고 T0는 주파수 ω0 로 표현되기 때문에 X라는 함수에 주파수 입력으로 표현이 가능합니다. 세번째 식은 k는 일반 정수 이고 ω0는 0에 수렴하는 값이므로 두수의 곱은 모든 실수 형태로 표현이 가능 합니다. 이를 ω로 표현 했습니다.

앞서 수식(3)을 위의 3가지 조건을 대입하면 수식(5)가 나오게 됩니다. 즉, x(t)를 주파수로 변환한 수식이 나오게 되는 것입니다. 이것이 푸레이 변환 수식의 발생 과정 입니다.
인버스 푸리에 변환(Inverse Fourier Transform) 전개하기
역변환이라고하는 Inverse Fourier Transform은 주파수의 함수를 다시 시간 도메인의 함수로 바꾸는 변환입니다.
변환 수식 전개는 간단합니다.

위 수식(6)는 푸리에 시리즈로 표현한 함수 입니다.

수식(7)에서 나중에 변환을 위해서 빨간색으로 표기된 부분은 수식(4)를 쓰기위해 넣은 부분으로 전체 값에는 영향을 주지 않습니다. 그리고 T0를 무한대로 보내서 비주기로 만들어 본디ㅏ.
수식(7)에서 lim과 시그마는 합쳐져서 적분식으로 바뀝니다.

위 수식(8)이 역변환 푸리에 변환입니다.
'여러가지공부 > 공업수학_신호처리' 카테고리의 다른 글
| 푸리에 변환 테이블(Impulse, 델타함수, 컨볼루전, 컬레복소수, Duality) 증명 (0) | 2022.12.12 |
|---|---|
| 푸리에변환 수식의 의미, 사각파 변환, 신호와 주파수 간의 관계(Fourier Transformer, FT, Square function) (0) | 2022.12.08 |
| 푸리에 시리즈 계수 ak 값 유도하고 의미 알아보기(Fourier Series, coefficient) (1) | 2022.11.26 |
| 푸리에 급수를 사용하는 이유 (고유함수(eigen function), Fourier series, 통신, 필터, LTI) (0) | 2022.11.21 |
| 벡터, 내적공간 이란? (Vector, Inner product space) (0) | 2022.11.20 |