목차

이번 포스트는 혁펜하임 신시 컨볼루션 내용을 참조해서 작성하였습니다.
콘볼루션(컨볼루션, Convolution)을 이해하기 위해서는 LTI와 Impulse 신호와 응답에 대해 이해하여야 합니다. LTI는 앞 포스트에서 설명하였으니 참조 하시길 바랍니다.
Impulse 신호 및 응답
임펄스 신호는 이산(Discrete) 신호와 연속(Continuous) 신호에 따라 아래와 같이 표현 됩니다.
이산 임펄스(Impulse) 신호



연속 임펄스(Impulse) 신호



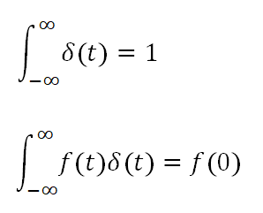
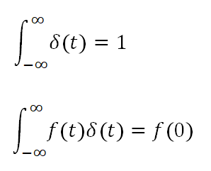
위와 같이 Impulse 신호에 대해 정의를 내릴 수 있습니다. 그리고 Impulse 신호는 적분시 1이 나옵니다. 해당 특징은 아래와 같이 수식으로 정리 됩니다.

임펄스(Impulse) 응답이란?

Impulse 응답이란 말 그대로 Impulse 신호를 어떤 시스템에 넣었을 때 나오는 값을 Impulse 응답이라고 합니다.
여기서 LTI(Linear Time Invariant) 시스템에 Impulse 신호를 넣게 되면 이 Impulse 응답으로 다른 입력에 대한 예측(Prediction)이 가능하게 되는 데 이것이 컨볼루젼과 관련이 있습니다.
그리고 LTI에 Impulse 입력을 넣어 나온 값을 h(t) 로 표기하는 데 큰 이유는 없습니다. 통념적으로 y(t)로 응답 값을 표기하지 않고 h(t)로 표기 하니 이 부분을 염두해서 수식을 이해하시면 됩니다.
컨볼루션(Convolution) 이란?
제가 이해한 Convolution을 정리하면 아래와 같습니다.
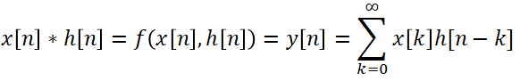
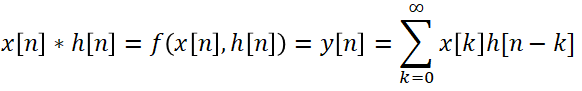
어떤 LTI 시스템에 Impulse 신호에 대한 응답 h(t) 값을 알면 어떠한 입력 값 x(t)에 대한 해당 LTI 시스템의 응답 값 y(t)를 알 수 있고(Predictable) y(t)는 Impulse 응답의 누적 합으로 표현(Calculation of accumulated reaction) 될 수 있습니다.
즉, Impulse에 대한 응답 하나로 모든 입력에 대한 출력을 구할 수 있게 된 것입니다.
수식은 이산 영역에서 위와 같이 표현 됩니다. Convolution에 대한 표기는 별표(*)를 사용하고 출력 값은 입력 값과 Impulse 응답의 누적합으로 표현 됩니다.

예를 들어 아래 그림과 같이 x 입력 신호가 있는 경우를 생각해보겠습니다.

입력 신호는 아래와 impulse 신호로 표현 할 수 있습니다.

x[0], x[1], x[2]는 일반 상수이고 impulse의 입력에 대한 출력은 h[t] 이므로 y[t]의 출력은 아래와 같이 표현 될 수 있습니다.

'여러가지공부 > 공업수학_신호처리' 카테고리의 다른 글
| Memoryless, Causal, BIBO System의 정의(메모리리스, 인과, 유계 입력 출력, Stability) (1) | 2022.10.15 |
|---|---|
| 연속시간 컨볼루션이란?(Continuous Time Convolution) (2) | 2022.10.03 |
| 에너지 신호와 전력 신호 구분법(Energy, Power) (0) | 2022.09.22 |
| LTI(Linear Time Invariant)란? 특징과 문제 풀이 (0) | 2022.09.08 |
| 오일러 공식(Euler's formula) 사용 예제 (0) | 2022.08.24 |