피로손상 (Fatigue Damage)
피로 손상이란?
UUT(Unit under test)는 다음의 2가지 원인에 의해 손상된다.
- Unit이 가지는 Stress limit을 넘어선 충격
- 장기간(Long term)에 피로(fatigue)로 인한 손상(damage)
시험 시간을 줄이기 위해 동일한 양의 피로 손상(Fatigue Damage)을 UUT에 가속으로 가한다.
피로도 계산 방법 (Fatigue Calculation) - SN curve, Miner's 법칙
MIL-STD-810G 에 따르면 시험 시간을 줄이기 위해 가장 일반적으로 사용되는 방법은 Miner Palmgren의 가설(hypothesis)이다. Power law(지수)로 fatigue의 관계를 정리하기 때문에 Log-Log plot에서 SN curve 기울기가 선형(Linear)이다. (그림1 참조)


Miner's rule에 따라 그림2의 수식으로 정리 된다. N은 Number of cycles 로 손상이 발생하는 사이클 횟수를 의미한다. c는 상수 값으로 시험적으로 발견한 값으로 일반적으로 0.7에서 2.2 사이의 값을 가진다. 설계적인 측면에서 일반적으로 1로 가정한다.
b는 log-log SN curve 그래프에서 기울기를 의미한다. S는 stress로 가해지는 피로, 응력으로 해석할 수 있다.

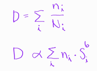
Henderson Piersol 가정에 따르면 Stress cycle 은 선형적으로 적립되지 않는다. 그림3과 같이 N을 peak stress 에 의한 cycle 횟수라고 하고 일반 stress에 의한 cycle을 n으로 표기하면 전체 손상(D, Damge) 정도는 비율로 표기 된다. 두 번째 수식도 첫번째와 마찬가지 개념이다. 다만 역수기 때문에 b 값이 양수가 된 것이다. 그림3과 같이 Damage가 쌓이는 관계식을 Miner's rule of Damage 라고 한다.
FDS(Fatigue Damage Spectrum)란?
특정 기간동안 제품이 겪는 전체 damage는 field data PSD(Energy of vibration test)로 계산이 가능하다. 이를 주파수 별 Damage로 표기 한 것이 FDS(Fatigue Damage Spectrum)이다.

그림4는 FDS 그래프로 위쪽 그래프는 측정값을 나열한 것이고 아래 그래프는 점들을 선으로 연결한 것이다.

FDS 계산은 그림5의 방법을 거친다. 해당 링크를 통해 가져왔다(https://vibrationresearch.com/webinar/using-fds-to-accelerate-testing-version-2014/)
우선, 필드에서 측정한 가속도파형을 적분하여 속도(velocity) 값으로 만든다. 속도를 사용하는 이유는 FDS 변환 과정에 Henderson-Piersol 방정식을 사용하는데 해당 방정식의 인자가 속도이기 때문이다.
Rainflow Counting, SN curve, Henderson Piersol 변환을 이용해서 FDS를 계산한다.
'여러가지공부' 카테고리의 다른 글
| Octave 란? (FFT 방식과의 차이, Octave band) (0) | 2021.06.25 |
|---|---|
| Rainflow counting 이란? (0) | 2021.06.09 |
| 오버샘플링(Oversampling)이란? (Fourier Transformer) (0) | 2021.05.29 |
| FT(Fourier Transformer) 와 DTFT(Discrete time) 비교, 그래프와 수식으로 이해하기 (푸리에 vs 이산시간 푸리에변환) (0) | 2021.05.28 |
| FFT(Fast Fourier Transform)이란? 샘플링 rate, Bandwidth, 측정시간, 주파수정밀도(resolution) 사이 trade off 관계 예제로 이해하기 (1) | 2021.05.27 |