목차

SN Curve 란?
SN Curve에서 S는 Stress(응력)을 의미 합니다. N은 Number of Cycles to Failure로 시편이 파손(Failure)가 발생하기 까지의 횟수(Cycle)를 의미 합니다.
즉, SN Curve는 AC 파형처럼 반복되는 응력(Stress)과 Failure가 발생하는 반복 횟수의 관계를 보여주는 그래프입니다. SN Curve는 독일 과학자 August Wöhler에 의해 개발되었습니다.
아래 그림은 nCode 소프트웨어의 재료 DB 중에 알루미늄 합금의 SN 그래프입니다.

응력에 따라 Life의 횟 수가 변화는 것을 빨간선을 따라 확인할 수 있습니다. 그래프는 위 그림처럼 Log 단위로 표현 합니다.
SN Curve의 특징을 정리하면 아래와 같습니다.
- 시편이 파손(Failure)되는 사이클을 응력대비 확인 가능
- 마이너의 법칙(Miner's Rule)에 따라 누적 피로 계산 가능
- 이론에 따르면 속도(Frequency)가 아닌 횟수(Cycle)에 의해 파손(Failure)이 결정
- 현실에서는 시편의 공진(Resonace)에 따라 응력의 주파수에도 영향을 받음
SN Curve에서의 탄성, 소성 영역 구분

앞서 포스터에서 Stress-Strain 그래프에서 UTS(Ultimate Tensile Strength), YS(Yield Strength)에 대해 배웠습니다(https://scribblinganything.tistory.com/546). nCode 소재 데이터 베이스에는 해당 정보가 있고 위 알루미늄 합금의 경우 UTS가 400이고 YS가 307 정도 입니다.
해당 포인트에 의해 소성 지역(Plastic), 탄성 지역(Elastic) 그리고 마지막으로 무제한 지역으로 EL(Endurance Limit) 아래의 응력(Stress)은 무제한 반복으로도 시편 파괴가 발생하지 않습니다.
물론 현실에서 Endurance Limit 아래로 때린다면 피로가 축척되어 파괴가 발생할 수 있지만 일반적으로 몇 백만 사이클 이상 버틸 경우 Endurance Limit 포인트로 정하고 시편이 부서지지 않는 이상적인 응력으로 봅니다.
Endurance Limit은 설계에 중요한 포인트로 아래와 같은 특성을 가집니다.
- 설계 시 DUT가 받는 Stress를 고려한 Endurance Limit 설계가 필요함
- Endurance Limit은 부식과 같은 외부 요인을 배제한 Stress에 의한 분석 값임
- 재료(Material)와 구조(Design)에 의해 Endurance Limit이 변경됨
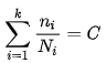
마이너 법칙(Miner's Rule)으로 Damage 계산하기

SN Curve의 최종 목표는 재료에 가해지는 하중 사이클을 통해 재료가 언제 파손되는지를 파악함에 있습니다. 마이너(Miner)의 법칙에 따르면 재료의 Failure에서 Damage가 1이라고 보고 아래와 같은 수식으로 정의 합니다.

예를 들어 어떤 시료가 5 크기 응력이 가해질 경우 10번 가해지면 Fail이 발생하고 10크기 응력이 가해질 경우 3번만에 fail이 발생한다고 생각하면 만일 5크기의 응력 2번과 10크기 응력 1번이 가해질 경우 총 Damage는 아래와 같이 구해질 수 있습니다.
C(Damage) = 2/10 + 1/3
C가 1이 되는 경우 파손이 발생하게 됩니다.
마이너 법칙의 한계점
- 다른 크기의 Stress가 들어오는 순서가 고려되지 않음
- 현실은 Stress의 사이클 빈도(Frequency)에도 영향을 받음
'여러가지공부 > 재료역학' 카테고리의 다른 글
| Strain Life Curve란? (EN 그래프, Manson Coffin Morrow, 변형률, 피로도, Fatigue) (0) | 2022.06.21 |
|---|---|
| Goodman 관계식이란? (Goodman-Haigh / Haigh-Soderberg diagram) (0) | 2022.06.20 |
| Ramberg-Osgood relation (램버그 오스굿 관계식, Strain, Stress, Fatigue) (0) | 2022.06.17 |
| Stress Strain 관계 특성, Young's Modulus 수식(응력, 변형률, 영률, 탄성계수, 취성) (0) | 2022.06.14 |
| 응력, 변형률이란? 수식, 관계 그래프, 단위(Stress, Strain, Equation, Graph) (0) | 2022.06.14 |