목차

이동 평균 정의 및 목적
이동 평균이란 영어로 Moving Average라 하고 연속된 측정 값의 특정 크기의 Window를 이동하면서 평균을 내는 방식을 의미합니다.
이동 평균법을 사용하는 이유는 크게 아래와 같이 2개의 이유가 있습니다.
- 데이터의 전체에 대한 평균으로 실시간의 변화 경향을 파악하기 힘듦
- 데이터의 변화량(노이즈, Noise) 이 클 경우 이를 부드럽게(Smooth)하게 만들어 줌 (아래 그림 참조)

이동 평균 법 종류(Type)
- 단순 이동 평균 (Simple Moving Average)
- 단순 가중 이동 평균 (Simple Weighted Moving Average)
- 지수 이동 평균 (Exponential Moving Average) / 지수 가중 이동 평균 (Exponential Weighted Moving Average)
- 기하 이동 평균 (Geometric Moving Average / Mean)
이동 평균 수식(Equation)
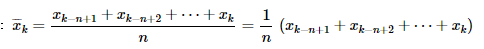
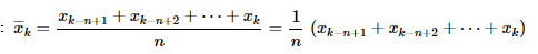
일반 이동 평균은 아래와 같이 n 개의 크기를 가지는 윈도우가 이동 하면서 평균을 합니다.

동일한 윈도우 사이즈(n개)가 이동하면서 평균을 구하는 방식입니다.
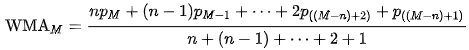
가중치(Weight)를 주는 방법은 각 x 포인트에 가중치를 다르게 주는 방식입니다.


위 수식은 가중치를 빨간 막대처럼 linear(선형) 하게 주는 방식입니다.
다음으로 지수 이동 평균은 지수 가중치 이동 평균법이라고도 하는데 가중치를 아래 그림처럼 지수적으로 주는 방식입니다.

'여러가지공부 > 진동(vibration)' 카테고리의 다른 글
| 타코 미터란? 종류 및 사용법(Tachometer Sensor) (0) | 2022.06.23 |
|---|---|
| Butterworth(버터워스) 필터란? 정의, 특징, 수식, 예제 구현 (0) | 2022.06.03 |
| [nCode] ENBW(equivalent noise bandwidth) 란? (0) | 2022.05.31 |
| [nCode] FFT 출력, 평균, Window, Buffer, Overlap 이란? (0) | 2022.05.31 |
| 전도모멘트란? 계산 방법 (Overturning Moment) (0) | 2021.10.01 |