목차

Butterworth(버터워스) 필터란? 정의, 수식
Butterworth Filter는 시간 도메인에서 측정한 결과에 적용되는 필터이고 원하지 않는 주파수 영역의 값을 필터 처리할 때 사용 합니다.

위 그림은 Butterworth, Chebyshev, Bessel, Elliptic 필터의 주파수 특성을 비교한 그림입니다.
Butterworth 필터(Filter)는 그림과 같이 통과 대역이 평평하고 값이 떨어지는 부분을 스커트(Skirt)라고 부르는데 스커트가 Chebyshev 필터에 비해 완만합니다.
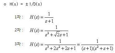
아래 수식은 Butterworth 저주파 통과(Low Pass filter)에 관한 수식 입니다.

Butterworth(버터워스) 필터 특징
버터워스 필터의 특징은 아래와 같이 정의할 수 있습니다.
- 평평한 통과대역 : 주파수 통과 대역은 오류 없이 전달 가능
- 스커트(Skirt) 부분 완만한게 떨어짐 : 스커트 영역의 주파수 값의 노이즈 발생
- 필터 차수 증가 시 이상적인 필터에 가까워 짐 (아래 그림참조)


Butterworth(버터워스) 필터 예제 구현
아래 예제는 nCode라는 소프트웨어를 사용해서 Strain Guage에서 측정한 스트레인 값에 Butterworth 필터를 적용했을 경우와 적용하지 않았을 때의 차이를 비교 합니다.

왼쪽 상단은 스트레인 측정값입니다. 이중에서 위에 2개 값만을 사용하겠습니다. 위의 2개 값을 Butterworth Filter를 통과 시키고 필터를 통과한 값과 원본 입력값을 오른쪽 하단 그림에서 비교 해줍니다.
Butterworth Filter 설정화면은 아래와 같습니다.

필터 종류는 High Pass Filter를 선택했습니다.
Method로 Forward와 Forward and Backward 방식이 있습니다. Forward만 진행할 경우 빠르게 처리가 가능하지만 입 출력 간에 위상 처짐 (Phase lag)이 발생할 수 있습니다. Forward and Backward 방식은 처리가 느리지만 위상 처짐을 막을 수 있습니다.
차수(Order)는 앞서 설명한 Butterworth 필터의 특성으로 스커트의 기울기를 결정해줍니다.
차단 주파수로 0.1Hz 설정하였습니다. 0.1Hz 이하의 저주파 성분을 차단합니다.
Warning에서 DC Warning과 Nyquist Warning은 Nyquist Frequency (나이퀴스트 주파수)를 기준으로 %로 경고를 주는 기준을 잡은 것입니다. Nyquist Frequency (나이퀴스트 주파수)는 아래 수식을 따릅니다.
Nyquist Frequency (나이퀴스트 주파수) = Sample rate / 2
출력 결과>>

첫번째 세번째 그림은 입력값이고 두번째 네번째 그림은 필터를 통과한 값입니다. DC 성분의 제거되었음을 알 수 있습니다.
참고문헌>>
http://www.ktword.co.kr/test/view/view.php?m_temp1=4066
'여러가지공부 > 진동(vibration)' 카테고리의 다른 글
| [회전체] 오더 분석이란? (Order Tracking, Analysis) (0) | 2022.06.24 |
|---|---|
| 타코 미터란? 종류 및 사용법(Tachometer Sensor) (0) | 2022.06.23 |
| 이동 평균이란? 종류, 목적, 수식 (Moving average, mean, Running, Simple) (0) | 2022.06.02 |
| [nCode] ENBW(equivalent noise bandwidth) 란? (0) | 2022.05.31 |
| [nCode] FFT 출력, 평균, Window, Buffer, Overlap 이란? (0) | 2022.05.31 |