전자식 가진기(Shaker)

그림1은 동링(Dongling)의 진동장비이다. 제품의 신뢰성(reliability) 를 담당하고 있다면 한번쯤은 사용하게 될 제품이 Electrodynamic shaker 이다. 위와 같은 진동 시험기를 선정할때 시편의 특성, 시편에 가해질 시험 규격에 따라 진동 시험기를 정해야 한다.

그림2은 팜테크에서 제공하는 동링 진동기의 스펙 중 일부이다. 진동 시험기(Shaker) 선정에서 가장 중요한 부분은 위쪽 항목 이다.
- Rated Sine/Random Force (kN)
- Shock Force (kN)
- Frequency Range (Hz)
- Max Acceleration (m/s^2)
- Max Velocity (m/s)
- Max Displacement (mm)
- Max Load (kg)
예제를 통해 진동 시험기 Stroke, force, velocity 에 따른 가속도 vs 로드 스펙 구하기
진동 장비 스펙은 아래와 같다.
- 5kN Sine force.
- 50gram 아마추어 무게 (armature mass)
- 최대 63 in/sec 속도
- 최대 1 inch 변위
우선 뉴턴의 제 2법칙에 의하면 힘은 가속도와 무게에 비례한다.
F = M x A
여기서 M (무게) 는 아마추어, 시편, 시편 지그 포함 움직이는 부분에 대한 총 무게 이다. 사인 진동 (sine vibration)은 피크 진폭 (peak A)를 사용한다. 그리고 랜덤 진동 (random vibration)의 경우는 RMS 가속도 값을 사용한다.
우선, 아마추어 자체에 대한 계산만을 하겠다.
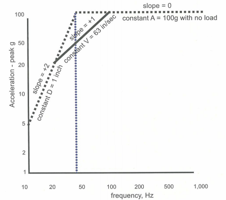
A = 5000 / 50 = 100g
해당 진동 시험기는 100g까지 사인 진동이 가능하다.
Stroke Limit
A = 0.0511 x (f^2) x D : 식(1)
위 식 유도 과정은 링크를 참조 하길 바란다. (https://scribblinganything.tistory.com/164)
진동 시험기 stroke 범위는 1인치이므로 위 식을 통해 약 44Hz에서 100g 가속도를 유지하고 그 이하의 주파수에서는 가속도 g 값이 줄어 든다. 위 식은 주파수의 지수에 비례해서 줄어드는데 그림3은 log-log 식이라 기울기 2로 일정하게 줄어 든다. 44Hz 이하에서 사용할 수 있는 가속도값이 줄어드는 것을 변위 제한 (stroke limit) 이라고 한다. 44Hz 이상에서는 진동 장비의 최대 주파수인 100g로 제한된다.

100g 주파수 값을 넣으면 가속도 피크 g 는 약 44Hz 정도가 된다.
Velocity Limit
V = pi x f x D : 식(2)
위 식 유도 과정은 링크를 참조 하길 바란다. (https://scribblinganything.tistory.com/164)
44Hz에서 1인치 변위일 때 속도는 약138in/sec 의 속도가 나와서 장비의 스펙을 넘어선다. 장비의 스펙을 맞추기 위해서는 변위를 줄여야한다. 최대 속력과 최대 변위에 맞추면 아래 식에 의해 주파수는 약 20Hz 가 나온다.
f = 63 / (pi x 1) = 20Hz
20Hz 이상에서는 속도를 더 이상 키울 수 없으므로 변위를 줄여서 가속도를 올려야 한다. 식(1)에 식(2)를 대입하면 주파수와 가속도가 1대1 비례하는 식이 나오고 아래와 같이 주파수에 따른 가속도 스펙을 구할 수 있다.

'여러가지공부 > 진동(vibration)' 카테고리의 다른 글
| SRTD(Sine Resonance Track & Dwell), 사인스윕으로 공진주파수 찾기 (0) | 2021.07.03 |
|---|---|
| random time history 파형 (field 가속도 값 PSD로 바꿔 보기) (0) | 2021.06.22 |
| 사인 진동시험 vs 랜덤 진동시험 비교 (Sine vibration test, Random vibration test) (1) | 2021.06.03 |
| Kurtosis(첨도), Crest factor(파고율) 란? (0) | 2021.06.01 |
| 사인 진동이란 그리고 사인 진동 적용분야? (Controller 예제를 통한 사인진동 구현, Sine Sinusoidal vibration) (0) | 2021.05.25 |