목차

변형률이란? (Strain, Strain Rate)
응력(Stress)에 의해 재료에 변형(Deformation)이 발생하고 변형의 정도를 변형률이라고 함
변형의 종류는 크게 아래와 같이 2가지로 분류됨
- Elastic Deformation (탄성 변형)
- Plastic Deformation (소성 변형)
탄성변형은 응력이나 하중이 없어지면 재료가 원래 모양으로 돌아가는 변형이고 소성 변형은 응렬/하중이 없어져도 재료가 원래 형상으로 돌아가지 못하고 영구적(Permanently)으로 변형되는 상태를 의미 합니다.
변형률 단위와 수식
변형률은 앱실론(epsilon)으로 표기하고 그리스문자 ε 를 사용 합니다.

수식은 아래와 같이 변형된 길이의 변화량을 원래 길이로 나눠준 값입니다.
ε 앱실론의 단위는 [㎛/m] 와 같이 길이 단위를 나눠준 값입니다.
변형 방향에 따른 변형률 분류
변형 방향에 따라 변형율을 다르게 표현 합니다.
- 수직 변형률(Normal Strain Rate)
- 전단 변형률(Shear Strain Rate)
수직 변형률은 재료의 양쪽을 당길 경우 인장 변형률(Tensil Strain)이라고 하고 재료의 양쪽을 밀 경우 압축 변형률(Compressive Strain)이라고 합니다.
전단 변형률은 아래 그림처럼 한면이 고정되어 있고 다른면이 변형이 발생할 경우 전단 변형률이라고 합니다.

전단 변형률 수식은 위의 그림에 나온 수식과 같이 원래 길이 대 변화량의 비률로 탄젠트 값이 됩니다.
Engineering Strain 과 Nominal Strain
앞서 이상적인 변형률은 길이 변화율과 원래 길이의 비로 변형율을 표현했습니다. 그리고 이와 같은 표현을 Nominal Strain이라고 합니다. 하지만 현실은 변화율도 시간에 따라 변화하게 됩니다.
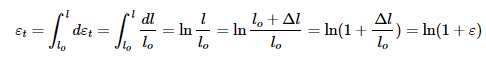
시간의 변화에 따른 길이 변화를 적용한 값이 Engineering Strain 이라고 합니다. 수식은 아래와 같이 시간 적분으로 표현 됩니다.

참고 문헌>>
http://www.ktword.co.kr/test/view/view.php?m_temp1=4883
'여러가지공부 > 재료역학' 카테고리의 다른 글
| 응력, 변형률이란? 수식, 관계 그래프, 단위(Stress, Strain, Equation, Graph) (0) | 2022.06.14 |
|---|---|
| 레인플로 카운팅이란? (피로 해석, 내구, Rainflow Counting, 히스테리시스, Pagoda, 4 Points) (0) | 2022.06.10 |
| 여러방향으로 응력(stress)이 발생 시 표현하는 방법, 응력 표현방법 (0) | 2021.01.25 |
| 열변형율 / 열응력 이란? (HEAT STRESS, HEAT STRAIN) (0) | 2021.01.25 |
| 변형율,푸아송 비율 (Strain, Poisson's Ratio) (0) | 2021.01.21 |