열변형의 예
전자 장치나 자동차의 전장 장치들의 부품을 보면 동작 온도 범위를 데이터 시트에서 쉽게 찾아 볼 수 있다. 가령 차량의 전장 부품들은 보통 80도까지는 버텨야한다. 많이 해당 부품에 80도 이상의 온도가 발생하면 문제가 발생한다. 이는 온도가 높아지면 열팽창이 발생하고 이것은 열응력의 증가로 이어져서 부품에 이상이 발생하는 것이다.
가공이나 용접에 의한 접합부분에 열이 발생해서 해당 부분에 열팽창이나 열응력이 발생해서 해당 재료의 정밀도가 떨어져서 내구성이 안좋아 질 수 있다.

기차선로나 도로를 자세히 보면 철로, 도로는 여름과 겨울사이 온도 변화로 인한 열변형율을 고려해서 틈새를 줘서 제작한다. 위 그림은 도로에 틈새를 준 설계이다.
1. 열변형률(Heat Strain)
재료에 온도가 올라가면 열변형이 발생하거나 열응령이 발생한다. 만일 재료가 고정되어 변형이 일어나기 어려운 조건이면 열응력이 생기고 고정되지 않은 상태이면 열변형이 발생하게 된다.

위 그림처럼 왼쪽이 고정되어 있다고 생각하면 온도에 따라 열변형이 생기는데 증가 또는 수축이 될 수 있다.그렇다면 욘도에 따른 길이의 변화를 어떻게 계산할 것인가?

위 표는 대표적인 재료들의 열평창 계수 (Thermal expansion coefficient) 이다.

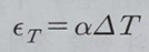
열변형률은 열평창계수와 온도의 변화량의 곱으로 표현된다. 열 변형량은 예전에 배웠던 수식(아래 링크참조)을 이용해서 아래처럼 구할 수 있다.

scribblinganything.tistory.com/89?category=957365
변형율(strain)이란?
변형율(strain)? : 같은 힘으로 동일한 재료, 동일한 단면적의 시편에 대해 인장시험 결과 변형량이 다르게 나옴 : 늘어나는 길이에 따라 차이가 발생함을 확인함 : 늘어난 길이를 초기 길이로 나누
scribblinganything.tistory.com
2. 열응력
재료의 양쪽이 모두 고정되어 있고 변형을 일으킬 수 없는 구조일때 온도가 변하면 열응력이 발생한다. 예를 들면 온도가 감소하여 재료의 길이가 줄어들어야하는데 양쪽이 묶여서 움직일 수 없게되면 마치 외부에 당기는 힘이 발생하는 것과 같다.
열응력은 후크의 법칙을 이용하면 간단하게 계산할 수 있다. 응력과 변형율을 1차식으로 적용할 수 있는 부분에서 후크의 법칙을 적용할 수 있는데 이때 변형율은 온도 변화와 비례하므로 변형율을 온도 변화로 변경하고 탄성계수는 열에 따른 탄성계수로 변경하면 되는 것이다. (후크의 법칙에 대한 상세 설명은 아래 링크를 참조)
scribblinganything.tistory.com/93?category=957365
후크, 훅의 법칙 (Hooke's law) / 응력-변형률
훅의 법칙 : 재료에 따라 응력(stress, 시그마)-변형률(strain, 입실론) 그래프가 달랐지만 공통적으로 직선 구간이 존재함 : 직선 구간을 1차 함수로 표현이 가능함, 해당 표현식을 훅의 법칙이라고
scribblinganything.tistory.com
아래 수식은 위에 설명한 부분을 수식화 한것이다.

'여러가지공부 > 재료역학' 카테고리의 다른 글
| [내구] 변형률 정의, 수식, 단위 (수직,전단(shear), Strain, Deformation, Engineering) (1) | 2022.06.02 |
|---|---|
| 여러방향으로 응력(stress)이 발생 시 표현하는 방법, 응력 표현방법 (0) | 2021.01.25 |
| 변형율,푸아송 비율 (Strain, Poisson's Ratio) (0) | 2021.01.21 |
| 후크, 훅의 법칙 (Hooke's law) / 응력-변형률 (0) | 2021.01.21 |
| 응력(stress), 변형률(strain) 그래프 (0) | 2021.01.21 |