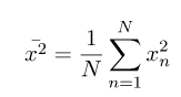
평균 제곱 (Mean Square) 이란?
평균제곱이란 아래와 같은 수식으로 전개 된다.

mean-square 란 신호의 평균 힘(Strength) 또는 파워(Power)를 측정 한 값이다.

그림1은 자동차 진동 신호의 mean-square 측정 값이다.
랜덤 진동 신호의 평균 값은 0이다. mean-square 값은 두개의 신호를 합칠 때 합쳐진 양으로 표현된다. 예를 들어 A와 B라는 신호의 mean-square를 구하면
(A+B)^2 = A^2 + 2 A·B + B^2
만일 A와 B가 평균값이 0인 독립적인 랜덤 변수이면 2AB는 0이고 각 신호의 mean-square를 합친 값이 전체 mean-square 값이 된다.
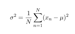
분산(Variance) 이란?
분산을 수식으로 전개하면 아래와 같다.

알려진 평균값 u에서 어느정도 벗어 났는지를 알려준다. 제곱을 치함으로써 평균 대비 아래 위로 방향성에 상관없이 크기로 결정한다.
랜덤진동에서 자유도(Degree of Freedom, DOF) 란?
위 분산식은 아래 같은 식으로 전개 될 수 있다.

위 식은 총 N개의 신호를 가지고 분산을 구하는 데 1개 신호를 미리 정해 놓고 (predetermined) 나머지 N-1 개의 신호에 대한 분산을 구한 것이다.
랜덤진동 시험이란 정해진 PSD에 맞춰서 파형을 만드는데 마지막 신호를 Predetermined 하고 나머지는 자유롭게 가우시안 분포의 확률을 따라 전개하는 것이다. PSD에 대한 설명은 괄호안에 링크를 참조하길 바란다.(https://scribblinganything.tistory.com/218)
그래서 위 수식을 따르는 랜덤 시험은 N-1의 자유도(Degree of Freedom, DOF) 자유도를 가지고 있다고 볼 수 있다.
표준편차(Standard Deviation)
표준편차란 분산에 root를 씌운값으로 아래와 같다.

이 표준편차는 앞으로 다룰 통계에서 신뢰구간(confidence interval)에 중요한 역할을 한다.
앞으로 통계, 확률, 신뢰구간(confidence interval)에서 해당 내용을 다시 다루도록 하겠다.
'여러가지공부 > 진동(vibration)' 카테고리의 다른 글
| 가속도센서란? (Accelerometer) (0) | 2021.08.26 |
|---|---|
| Pseudo velocity(의사속도) 란? 계산방법과 분석하는 방법 (0) | 2021.08.24 |
| Delta Sigma Encoder 란? (델타 시그마 인코딩(필터)), 계산 방법 (0) | 2021.08.17 |
| Aliasing 이란? Anti-aliasing Filter 이란? (0) | 2021.08.08 |
| THD(Total Harmonic Distortion, 고조파왜곡)이란? THD 계산방법 (0) | 2021.08.06 |