Delta Sigma Encoder 란?
ADC, DAC 등 변환(Convert)를 하는 과정에서 노이즈가 발생하고 이를 최소화 하는 인코더를 델타 시그마 인코더라고 한다.


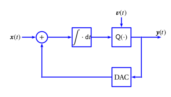
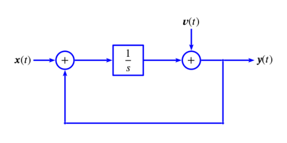
그림1은 Delta-sigma encoder의 topology를 표현한 것이다. 그리고 그림2은 해당 그림1을 라플라스(Laplace)변환을 하여 s-domin(s도메인)으로 간략화 한것이다. 적분식은 간단하게 1/s 로 표현된다.
그림에서 보면 알겠지만 입력으로 x(t), v(t) 가 있다. x(t)는 실제 입력 값이고 v(t)는 양자화(Quantization)로 인한 노이즈 입력 값이다. Quantization은 아날로그 신호를 디지털로 바꾸는 과정에서 어쩔수 없이 발생하는 노이즈 성분으로 값이 빠르게 바뀌는 디지털로 인해 고주파 Noise가 많이 발생한다.
위 그림1과 같은 Delta Sigma 인코더를 사용하면 두가지 효과를 볼 수 있다.
- 입력 신호에 Low pass filter(저주파 통과 필터) 적용
- 양자화 노이즈 신호에 High pass filter(고주파 통과 필터)적용
Delta Sigma Encoder 계산 방법
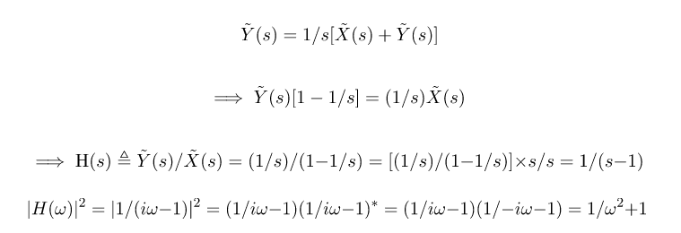
입력값 x(t)와 v(t) 각 각에 대한 전달 함수를 구해서 전달 함수의 특성을 알 수 있다.
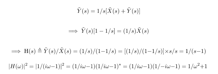
H(S) = Y(s)/X(s)

그림2의 수식을 통해 최종적으로 전달함수의 크기를 구할 수 있다. 주파수가 w -> 0 에 가까지 가면 1이되고 w -> 무한대 로 가면 0이 된다. 즉, 저주파 통과 필터 (low pass filter)의 특성이다. x(t) 신호는 그러므로 저주파 통과 필터를 지나게 되는 것이다.
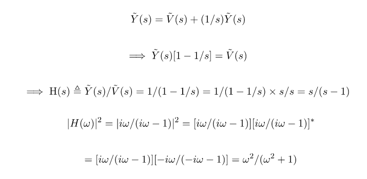
H(S) = Y(s)/V(s)

그림2의 수식을 통해 양자화의 소음은 고주파 통과 필터를 지나는 효과를 가지게 된다. 주파수가 무한대이면 1성분만 남고 주파수가 0에 가까워지면 0만 남게 된다.
참조링크>>
https://vru.vibrationresearch.com/lesson/delta-sigma-encoding/
'여러가지공부 > 진동(vibration)' 카테고리의 다른 글
| Pseudo velocity(의사속도) 란? 계산방법과 분석하는 방법 (0) | 2021.08.24 |
|---|---|
| 평균 제곱, 분산,자유도 (Mean Square, Variance,DOF) 이란? (의미, 계산법) (0) | 2021.08.20 |
| Aliasing 이란? Anti-aliasing Filter 이란? (0) | 2021.08.08 |
| THD(Total Harmonic Distortion, 고조파왜곡)이란? THD 계산방법 (0) | 2021.08.06 |
| 3축 진동(3 Axis) 시험기 - VR로 세팅해보기 (0) | 2021.07.30 |