Stress - Life 그래프
Stress - Life 그래프는 아래 그림처럼 2개의 도식으로 도식화된 Wohler S-N 다이어그램을 기본으로 만들어 졌다.
S-N 다이어그램은 응력 진폭 S 대 고장주기 N을 표시한다. 적절한 S-N 다이어그램에 필요한 데이터를 만들기 위해 수많은 테스트를 진행하였다. S-N 데이터는 일반적으로 log-log 그래프에 표시되며, 실제 S-N 선은 여러 데이터 값의 평균을 나타낸다.

내구성 한계치 (Endurance Limit)
특정 재료는 피로 한계 또는 내구성 한계가 있으며, 이는 재료가 망가지지 않고 무한번의 주기로 줄 수 있는 스트레스 수준을 나타낸다. 적용된 응력 수준이 재료의 내구성 한계(Endurance limit) 이하일 경우 구조는 무한 수명을 갖는다고 한다. 이것은 양성 환경 조건에서의 강철과 티타늄의 특성이다. 이러한 유형의 재료에 해당하는 일반적인 S-N 곡선은 위 그림 곡선 A와 같은 형태이다.
알루미늄, 마그네슘, 구리 합금과 같은 많은 비철금속과 합금은 곡선 A 와 같은 특성을 가지지 않는다. 대신 이러한 재료는 위 그림의 곡선 B와 유사하게 지속적으로 감소하는 S-N 반응을 나타낸다. 이 경우 주어진 사이클 수에 대한 피로 강도(Fatigue Strength)를 지정해야 한다. 이러한 재료에 대한 내구성 한계(Endurance limit)는 주로 10^8 또는 5x10^8 사이클에서 고장을 일으키는 응력으로 정의된다.
내구성 한계 개념은 무한 수명 또는 안전 스트레스(Stress-free) 설계에 사용된다. 핀이 탈구(dislocation)되는 것은 재료 사이사이 요소(철의 탄소 또는 질소 등) 때문이다. 내구성 한계를 통해 이러한 현상들을 방지한다.
아래와 같은 이유로 내구성 한계 값이 사라질 수 있으므로 설계시 주의 해야한다.
- 주기적인 과부하 (핀 dislocation)
- 부식이 쉬운 환경
- 고온
표면 마감과 같은 다른 중요한 영향을 완전히 제거할 수는 없기 때문에 내구성 한계는 재료의 진정한 특성이 아니다. 그러나 연마된 표본에서 얻은 측정 값(Se')은 다른 인자를 적용할 수 있는 기준을 제공한다. 아래 항목들은 내구성 한계에 영향을 미칠 수 있는 요소 들이다.
· 표면 마감 (Surface Finish)
· 온도
· 응력집중 (Stress Concentration)
· 노치 민감도 (Notch Sensitivity)
· 크기
· 환경
· 신뢰성 (Reliability)
위와 같은 영향을 k factor 로 정리한다. 실제 내구성 한계는 아래와 같이 계산 된다.

Power Relationship
위 SN 그래프에서 직선에 가까운 형태를 볼 수 있다. 우리는 해당 직선을 1차식 형태로 유추 할 수 있다. 아래 그림은 위 SN 그래프 중 직선에 해당하는 부분만 추출해서 만든 그래프이다.

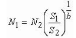
위 그래프에서 기울기를 b라고 하면 아래와 같은 수식을 만들 수 있다.

이때 기울기를 Basquin slope 이라고 부른다. 선이 직선이므로 b 값은 특정 상수 값을 가지게 된다. 위 식에서 분모 부분을 옮겨서 log를 삭제하면 아래처럼 간단한 power law 방정식을 만들 수 있다.

위 식에서 우리가 모르는 값은 없으므로 Cycle에 대한 Stress 값을 식을 통해 찾을 수 있게 되었다. 하지만 위 식을 모든 범위에 적용할 수 는 없다. 직선에 가까운 구간에만 적용이 가능하다.
철 금속의 경우 적용가능 범위는 1x10^3 ~ 1x10^6 사이클입니다. 비철 금속의 경우 적용가능 범위는 1x10^3 ~ 5x10^8 사이클입니다. 위에서 설명한 경험적 관계와 방정식은 추정치일 뿐입니다. 피로 분석에 필요한 확실성 수준에 따라 실제 시험 데이터가 필요하다.
Fatigue Ratio (인장(Tensile)성질, 피로(Fatigue)와 관계)
오랜 경험, 실험을 통해 Fatigue 와 Tensile 사이 관계를 확인하였다. 해당 정보는 개발자들이 초기에 fatigue 효율성을 판단할때 유용하게 사용되었다.
내구성 한계(Endurance limit, Se) 와 Ultimate strength (Su) 사이의 비율을 fatigue ratio 라고 부른다. Ultimate strength 은 사이클에 상관없이 재료를 망가트리는 힘정도로 보면 될 듯하다. 일반적인 fatigue ratio 범위는 0.25~0.6 정도 이다.
철강의 경우 내구성 한계(Endurance limit, Se)은 아래 식으로 표현된다. 즉, fatigue ratio 는 0.5 정도로 보면된다.

가공한 철강의 사이클 10^3 에 해당하는 stress 값은 0.9Su (Ultimate Strength) 정도 된다. 내구성 한계(Endurance limit, Se) 와 함께 그림으로 표현하면 아래 그림과 같다.

'여러가지공부' 카테고리의 다른 글
| FRF (Frequency Response Function, 주파수 응답)이란? (0) | 2021.04.05 |
|---|---|
| Stress - Life 그래프란(2)? (SN 그래프) (4) | 2021.02.02 |
| 피로도(fatigue)란? 재료 특성(Material Properties), 환경 로드(Loading), 기하학(Geometry)구조에 따른 피로도 계산 방법 (0) | 2021.01.27 |
| 내구성 (Durability) 이란? 설계 시 고려할 점은? (0) | 2021.01.26 |
| 티스토리 카테고리 삭제하는 방법 (비활성화되서 삭제가 안될때) (1) | 2021.01.25 |